13.2 Bagging和随机森林
13.2 Bagging和随机森林
学习目标
- 知道Bagging集成原理
- 知道随机森林构造过程
- 知道什么是包外估计
- 知道RandomForestClassifier的使用
- 了解baggind集成的优点
1 Bagging集成原理
目标:把下面的圈和方块进行分类

实现过程:
- 采样不同数据集

2)训练分类器

3)平权投票,获取最终结果

4)主要实现过程小结

2 随机森林构造过程
在机器学习中,随机森林是一个包含多个决策树的分类器,并且其输出的类别是由个别树输出的类别的众数而定。
随机森林 = Bagging + 决策树

例如, 如果你训练了5个树, 其中有4个树的结果是True, 1个树的结果是False, 那么最终投票结果就是True
随机森林够造过程中的关键步骤(M表示特征数目):
1)一次随机选出一个样本,有放回的抽样,重复N次(有可能出现重复的样本)
2) 随机去选出m个特征, m <<M,建立决策树
- 思考
- 1.为什么要随机抽样训练集?
- 如果不进行随机抽样,每棵树的训练集都一样,那么最终训练出的树分类结果也是完全一样的
- 2.为什么要有放回地抽样?
- 如果不是有放回的抽样,那么每棵树的训练样本都是不同的,都是没有交集的,这样每棵树都是“有偏的”,都是绝对“片面的”(当然这样说可能不对),也就是说每棵树训练出来都是有很大的差异的;而随机森林最后分类取决于多棵树(弱分类器)的投票表决。
- 1.为什么要随机抽样训练集?
3 包外估计
在随机森林构造过程中,如果进行有放回的抽样,我们会发现,总是有一部分样本我们选不到。
- 这部分数据,占整体数据的比重有多大呢?
- 这部分数据有什么用呢?
3.1 包外估计的定义
随机森林的 Bagging 过程,对于每一颗训练出的决策树 gt ,与数据集 D 有如下关系:

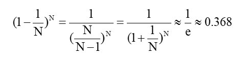
对于星号的部分,即是没有选择到的数据,称之为 Out-of-bag(OOB)数据,当数据足够多,对于任意一组数据 (xn, yn) 是包外数据的概率为:

由于基分类器是构建在训练样本的自助抽样集上的,只有约 63.2% 原样本集出现在中,而剩余的 36.8% 的数据作为包外数据,可以用于基分类器的验证集。
经验证,包外估计( Out-of-Bag Estimate)是对集成分类器泛化误差的无偏估计.
在随机森林算法中数据集属性的重要性、分类器集强度和分类器间相关性计算都依赖于袋外数据。
3.2 包外估计的用途
- 当基学习器是决策树时,可使用包外样本来辅助剪枝 ,或用于估计决策树中各结点的后验概率以辅助对零训练样本结点的处理;
- 当基学习器是神经网络时,可使用包外样本来辅助早期停止以减小过拟合 。
4 随机森林api介绍
sklearn.ensemble.RandomForestClassifier(n_estimators=10, criterion=’gini’, max_depth=None, bootstrap=True, random_state=None, min_samples_split=2)
n_estimators:integer,optional(default = 10)森林里的树木数量120,200,300,500,800,1200
- 在利用最大投票数或平均值来预测之前,你想要建立子树的数量。
Criterion:string,可选(default =“gini”)
- 分割特征的测量方法
max_depth:integer或None,可选(默认=无)
- 树的最大深度 5,8,15,25,30
max_features="auto”,每个决策树的最大特征数量
- If "auto", then
max_features=sqrt(n_features). - If "sqrt", then
max_features=sqrt(n_features)(same as "auto"). - If "log2", then
max_features=log2(n_features). - If None, then
max_features=n_features.
- If "auto", then
bootstrap:boolean,optional(default = True)
- 是否在构建树时使用放回抽样
min_samples_split 内部节点再划分所需最小样本数
- 这个值限制了子树继续划分的条件,如果某节点的样本数少于min_samples_split,则不会继续再尝试选择最优特征来进行划分,默认是2。
- 如果样本量不大,不需要管这个值。如果样本量数量级非常大,则推荐增大这个值。
min_samples_leaf 叶子节点的最小样本数
这个值限制了叶子节点最少的样本数,如果某叶子节点数目小于样本数,则会和兄弟节点一起被剪枝, 默认是1。
叶是决策树的末端节点。 较小的叶子使模型更容易捕捉训练数据中的噪声。
一般来说,我更偏向于将最小叶子节点数目设置为大于50。
min_impurity_split: 节点划分最小不纯度
这个值限制了决策树的增长,如果某节点的不纯度(基于基尼系数,均方差)小于这个阈值,则该节点不再生成子节点。即为叶子节点 。
一般不推荐改动默认值1e-7。
上面决策树参数中最重要的包括
- 最大特征数max_features,
- 最大深度max_depth,
- 内部节点再划分所需最小样本数min_samples_split
- 叶子节点最少样本数min_samples_leaf。
5 随机森林预测案例
- 实例化随机森林
# 随机森林去进行预测
rf = RandomForestClassifier()- 定义超参数的选择列表
param = {"n_estimators": [120,200,300,500,800,1200], "max_depth": [5, 8, 15, 25, 30]}- 使用GridSearchCV进行网格搜索
# 超参数调优
gc = GridSearchCV(rf, param_grid=param, cv=2)
gc.fit(x_train, y_train)
print("随机森林预测的准确率为:", gc.score(x_test, y_test))注意
- 随机森林的建立过程
- 树的深度、树的个数等需要进行超参数调优
6 bagging集成优点
Bagging + 决策树/线性回归/逻辑回归/深度学习… = bagging集成学习方法
经过上面方式组成的集成学习方法:
- 均可在原有算法上提高约2%左右的泛化正确率
- 简单, 方便, 通用
7 小结
- bagging集成过程【知道】
- 1.采样 — 从所有样本里面,采样一部分
- 2.学习 — 训练弱学习器
- 3.集成 — 使用平权投票
- 随机森林介绍【知道】
- 随机森林定义
- 随机森林 = Bagging + 决策树
- 流程:
- 1.随机选取m条数据
- 2.随机选取k个特征
- 3.训练决策树
- 4.重复1-3
- 5.对上面的若决策树进行平权投票
- 注意:
- 1.随机选取样本,且是有放回的抽取
- 2.选取特征的时候吗,选择m<<M
- M是所有的特征数
- 包外估计
- 如果进行有放回的对数据集抽样,会发现,总是有一部分样本选不到;
- api
- sklearn.ensemble.RandomForestClassifier()
- 随机森林定义
- Bagging + 决策树/线性回归/逻辑回归/深度学习… = bagging集成学习方法【了解】
- bagging的优点【了解】
- 1.均可在原有算法上提高约2%左右的泛化正确率
- 2.简单, 方便, 通用