13.4 Boosting
13.4 Boosting
学习目标
- 知道boosting集成原理和实现过程
- 知道bagging和boosting集成的区别
- 知道AdaBoost集成原理
1 什么是boosting

随着学习的积累从弱到强
简而言之:每新加入一个弱学习器,整体能力就会得到提升
代表算法:Adaboost,GBDT,XGBoost,LightGBM
2 实现过程:
1.训练第一个学习器

2.调整数据分布

3.训练第二个学习器

4.再次调整数据分布

5.依次训练学习器,调整数据分布

6.整体过程实现

3 bagging与boosting的区别
- 区别一:数据方面
- Bagging:对数据进行采样训练;
- Boosting:根据前一轮学习结果调整数据的重要性。
- 区别二:投票方面
- Bagging:所有学习器平权投票;
- Boosting:对学习器进行加权投票。
- 区别三:学习顺序
- Bagging的学习是并行的,每个学习器没有依赖关系;
- Boosting学习是串行,学习有先后顺序。
- 区别四:主要作用
- Bagging主要用于提高泛化性能(解决过拟合,也可以说降低方差)
- Boosting主要用于提高训练精度 (解决欠拟合,也可以说降低偏差)

4 AdaBoost介绍
4.1 构造过程细节
步骤一:初始化训练数据权重相等,训练第一个学习器。
该假设每个训练样本在基分类器的学习中作用相同,这一假设可以保证第一步能够在原始数据上学习基本分类器H1(x)
步骤二:AdaBoost反复学习基本分类器,在每一轮m=1,2,...,M 顺次的执行下列操作:
(a) 在权值分布为Dt的训练数据上,确定基分类器;
(b) 计算该学习器在训练数据中的错误率: $$ \varepsilon _t = P(h_t(x_t)\neq y_t) $$
(c) 计算该学习器的投票权重: $$ \alpha _t=\frac{1}{2}ln(\frac{1-\varepsilon _t}{\varepsilon _t}) $$
(d) 根据投票权重,对训练数据重新赋权

将下一轮学习器的注意力集中在错误数据上
重复执行a到d步,m次;
步骤三:对m个学习器进行加权投票

image-20230711152508296
4.2 关键点剖析
如何确认投票权重?
如何调整数据分布?

4.3 案例介绍
给定下面这张训练数据表所示的数据,假设弱分类器由xv产生,其阈值v使该分类器在训练数据集上的分类误差率最低,试用Adaboost算法学习一个强分类器。

问题解答:
步骤一:初始化训练数据权重相等,训练第一个学习器: $$ D_1=(w_{11},w_{12},...,w_{110},) $$
$$ w_{1i}=0.1, i=1,2,...,10 $$
步骤二:AdaBoost反复学习基本分类器,在每一轮m=1,2,...,M顺次的执行下列操作:
当m=1的时候:
(a)在权值分布为D1的训练数据上,阈值v取2.5时分类误差率最低,故基本分类器为:
6,7,8被分错

(b)计算该学习器在训练数据中的错误率: $$ \varepsilon _1 = P(h_1(x_1)\neq y_1)=0.3 $$ (c)计算该学习器的投票权重: $$ \alpha 1=\frac{1}{2}ln(\frac{1-\varepsilon 1}{\varepsilon 1})=0.4236 $$ (d)根据投票权重,对训练数据重新赋权: $$ D_2=(w{21},w{22},...,w{210},) $$ 根据下公式,计算各个权重值
经计算得,D2的值为: $$ D_2=(0.07143,0.07143,0.07143,0.07143,0.07143, 0.07143,0.16667,0.16667,0.16667,0.07143) $$ 计算过程:
image-20230711152834767
$$ H_1(x)=sign[0.4236h_1(x)] $$
分类器H1(x)在训练数据集上有3个误分类点。
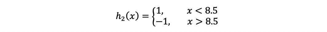
当m=2的时候:
(a)在权值分布为D2的训练数据上,阈值v取8.5时分类误差率最低,故基本分类器为:
3,4,5被分错

(b)计算该学习器在训练数据中的错误率: $$ \varepsilon _2 = P(h_2(x_2)\neq y_2)=0.2143 $$ (c)计算该学习器的投票权重: $$ \alpha _2=\frac{1}{2}ln(\frac{1-\varepsilon _2}{\varepsilon _2})=0.6496 $$ (d)根据投票权重,对训练数据重新赋权:
经计算得,D3的值为: $$ D_3=(0.0455, 0.0455, 0.0455, 0.1667, 0.1667, 0.1667, 0.1060, 0.1060, 0.1060,0.0455) $$
$$ H_2(x)=sign[0.4236h_1(x)+0.6496h_2(x)] $$
分类器H2(x)在训练数据集上有3个误分类点。
当m=3的时候:
(a)在权值分布为D3的训练数据上,阈值v取5.5时分类误差率最低,故基本分类器为:

(b)计算该学习器在训练数据中的错误率: $$ \varepsilon _3 = 0.1820 $$ (c)计算该学习器的投票权重: $$ \alpha _3=0.7514 $$ (d)根据投票权重,对训练数据重新赋权:
经计算得,D2的值为: $$ D_4=(0.125, 0.125, 0.125, 0.102, 0.102, 0.102, 0.065, 0.065, 0.065, 0.125) $$
$$ H_3(x)=sign[0.4236h_1(x)+0.6496h_2(x)+0.7514h_3(x)] $$
分类器H3(x)在训练数据集上的误分类点个数为0。
步骤三:对m个学习器进行加权投票,获取最终分类器 $$ H_3(x)=sign[0.4236h_1(x)+0.6496h_2(x)+0.7514h_3(x)] $$
4.4 api
- from sklearn.ensemble import AdaBoostClassifier
- api链接:https://scikit-learn.org/stable/modules/generated/sklearn.ensemble.AdaBoostClassifier.html#sklearn.ensemble.AdaBoostClassifier
5 小结
- 什么是Boosting 【知道】
- 随着学习的积累从弱到强
- 代表算法:Adaboost,GBDT,XGBoost,LightGBM
- bagging和boosting的区别【知道】
- 区别一:数据方面
- Bagging:对数据进行采样训练;
- Boosting:根据前一轮学习结果调整数据的重要性。
- 区别二:投票方面
- Bagging:所有学习器平权投票;
- Boosting:对学习器进行加权投票。
- 区别三:学习顺序
- Bagging的学习是并行的,每个学习器没有依赖关系;
- Boosting学习是串行,学习有先后顺序。
- 区别四:主要作用
- Bagging主要用于提高泛化性能(解决过拟合,也可以说降低方差)
- Boosting主要用于提高训练精度 (解决欠拟合,也可以说降低偏差)
- 区别一:数据方面
- AdaBoost构造过程【知道】
- 步骤一:初始化训练数据权重相等,训练第一个学习器;
- 步骤二:AdaBoost反复学习基本分类器;
- 步骤三:对m个学习器进行加权投票
