13.5 GBDT介绍
13.5 GBDT介绍
学习目标
- 知道GBDT的算法原理
GBDT 的全称是 Gradient Boosting Decision Tree,梯度提升树,在传统机器学习算法中,GBDT算的上TOP3的算法。
想要理解GBDT的真正意义,那就必须理解GBDT中的Gradient Boosting 和Decision Tree分别是什么?
1 CART回归树
首先,GBDT使用的决策树是CART回归树,无论是处理回归问题还是二分类以及多分类,GBDT使用的决策树通通都是都是CART回归树。
- 为什么不用CART分类树呢?
- 因为GBDT每次迭代要拟合的是梯度值,是连续值所以要用回归树。
对于回归树算法来说最重要的是寻找最佳的划分点,那么回归树中的可划分点包含了所有特征的所有可取的值。
在分类树中最佳划分点的判别标准是熵或者基尼系数,都是用纯度来衡量的,但是在回归树中的样本标签是连续数值,所以再使用熵之类的指标不再合适,取而代之的是平方误差,它能很好的评判拟合程度。
1.1 回归树生成算法(复习)
- 输入:训练数据集D:
- 输出:回归树f(x).
- 在训练数据集所在的输入空间中,递归的将每个区域划分为两个子区域并决定每个子区域上的输出值,构建二叉决策树:
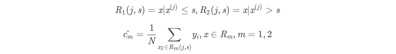
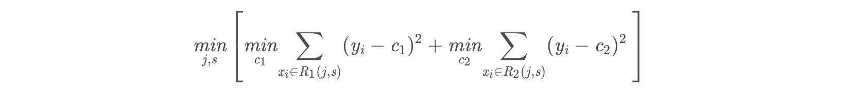
- (1)选择最优切分特征j与切分点s,求解
遍历特征j,对固定的切分特征j扫描切分点s,选择使得上式达到最小值的对 (j,s). - (2)用选定的对(j,s)划分区域并决定相应的输出值:

- (3)继续对两个子区域调用步骤(1)和(2),直至满足停止条件。
- (4)将输入空间划分为M个区域R1,R2,……,Rm, 生成决策树:

- (1)选择最优切分特征j与切分点s,求解
2 拟合负梯度
梯度提升树(Grandient Boosting)是提升树(Boosting Tree)的一种改进算法,所以在讲梯度提升树之前先来说一下提升树。
先来个通俗理解:假如有个人30岁,我们首先用20岁去拟合,发现损失有10岁,这时我们用6岁去拟合剩下的损失,发现差距还有4岁,第三轮我们用3岁拟合剩下的差距,差距就只有一岁了。如果我们的迭代轮数还没有完,可以继续迭代下面,每一轮迭代,拟合的岁数误差都会减小。最后将每次拟合的岁数加起来便是模型输出的结果。
提升树算法:
(1)初始化: $$ f_0(x)=0 $$
(2)对m=1,2,...,M
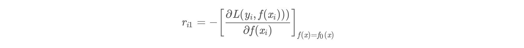
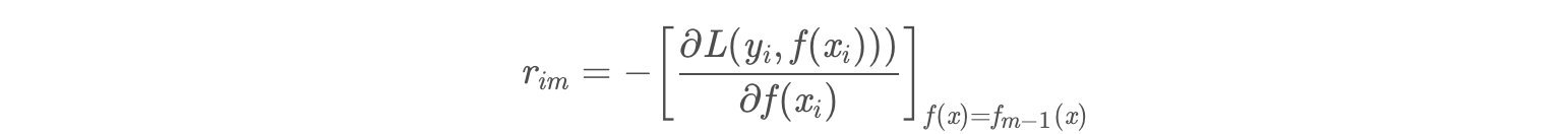
(a)计算残差: $$ r_{mi}=y_i-f_{m-1}(x),i=1,2,...,N $$
(b)拟合残差rmi 学习一个回归树,得到hm(x)
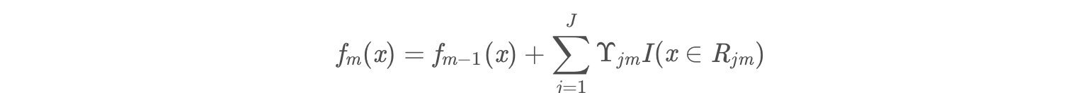
(c)更新: $$ f_m(x) = f_{m-1}+h_m(x) $$
(3)得到回归问题提升树: $$ f_M(x)=\sum_{m=1}^Mh_m(x) $$
上面伪代码中的残差是什么?
在提升树算法中,
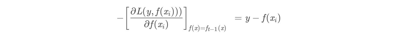
假设我们前一轮迭代得到的强学习器是: $$ f_{t-1}(x) $$
损失函数是:
$$ L(y,f_{t-1}(x)) $$
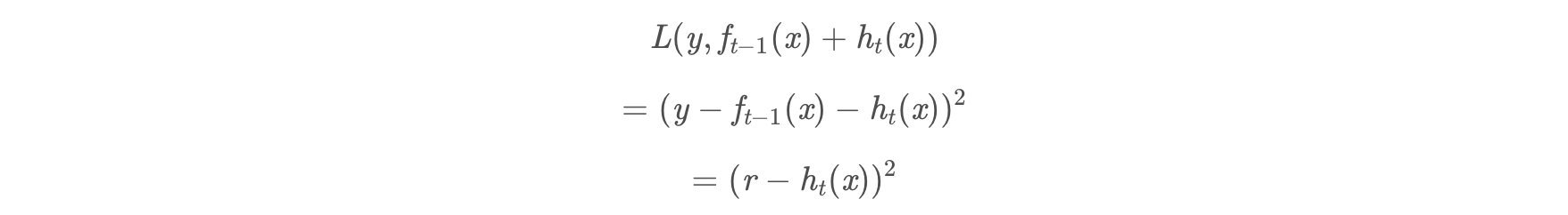
我们本轮迭代的目标是找到一个弱学习器: $$ h_t(x) $$
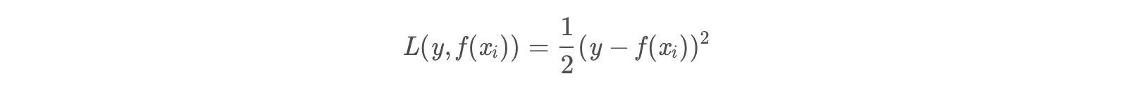
最小化让本轮的损失: $$ L(y,f_t(x))=L(y,f_{t-1}(x)+h_t(x)) $$ 当采用平方损失函数时:

- 这里,
是当前模型拟合数据的残差(residual)。 - 所以,对于提升树来说只需要简单地拟合当前模型的残差。
回到我们上面讲的那个通俗易懂的例子中,第一次迭代的残差是10岁,第二 次残差4岁,,,,,,
当损失函数是平方损失和指数损失函数时,梯度提升树每一步优化是很简单的,但是对于一般损失函数而言,往往每一步优化起来不那么容易。
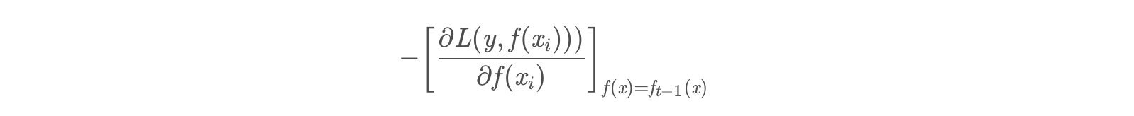
针对这一问题,Friedman提出了梯度提升树算法,这是利用最速下降的近似方法,其关键是利用损失函数的负梯度作为提升树算法中的残差的近似值。
那么负梯度长什么样呢?
- 第t轮的第i个样本的损失函数的负梯度为:

- 此时不同的损失函数将会得到不同的负梯度,如果选择平方损失:

- 负梯度为:

此时我们发现GBDT的负梯度就是残差,所以说对于回归问题,我们要拟合的就是残差。
那么对于分类问题呢?
- 二分类和多分类的损失函数都是logloss。
本文以回归问题为例进行讲解。
3 GBDT算法原理
上面两节分别将Decision Tree和Gradient Boosting介绍完了,下面将这两部分组合在一起就是我们的GBDT了。
GBDT算法:
- (1)初始化弱学习器

- (2)对m=1,2,...,M有:
- (a)对每个样本i=1,2,...,N,计算负梯度,即残差
(b)将上步得到的残差作为样本新的真实值,并将数据(��,���),�=1,2,..�(x**i,rim),i=1,2,..N作为下棵树的训练数据,得到一颗新的回归树fm(x)其对应的叶子节点区域为���,�=1,2,...,�Rjm,j=1,2,...,J 其中J为回归树t的叶子节点的个数。 - (c)对叶子区域j=1,2,..J计算最佳拟合值

- (d)更新强学习器
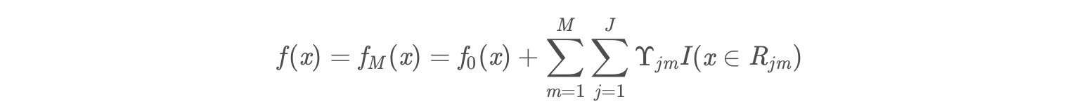
(3)得到最终学习器 
- (a)对每个样本i=1,2,...,N,计算负梯度,即残差
4 实例介绍
4.1 数据介绍
根据如下数据,预测最后一个样本的身高。
| 编号 | 年龄(岁) | 体重(kg) | 身高(m)(标签值) |
|---|---|---|---|
| 0 | 5 | 20 | 1.1 |
| 1 | 7 | 30 | 1.3 |
| 2 | 21 | 70 | 1.7 |
| 3 | 30 | 60 | 1.8 |
| 4(要预测的) | 25 | 65 | ? |
4.2 模型训练
4.2.1 设置参数:
- 学习率:learning_rate=0.1
- 迭代次数:n_trees=5
- 树的深度:max_depth=3
4.2.2 开始训练
(1)初始化弱学习器:

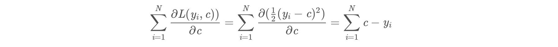
损失函数为平方损失,因为平方损失函数是一个凸函数,直接求导,倒数等于零,得到c。

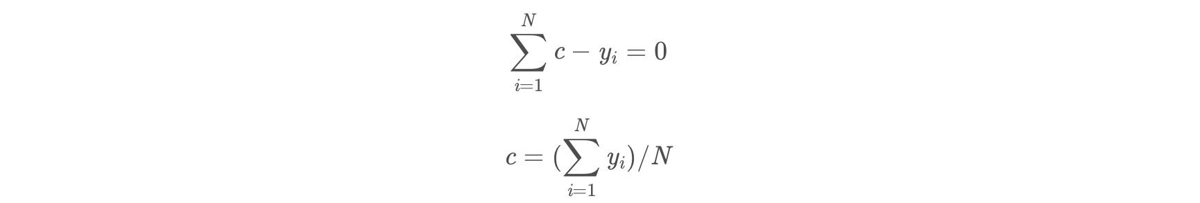
令导数等于0

所以初始化时,c取值为所有训练样本标签值的均值。
$$ c=(1.1+1.3+1.7+1.8)/4=1.475 $$ 此时得到初始学习器f0(x):
$$ f_0(x)=c=1.475 $$ (2)对迭代轮数m=1,2,…,M:
由于我们设置了迭代次数:n_trees=5,这里的M=5。
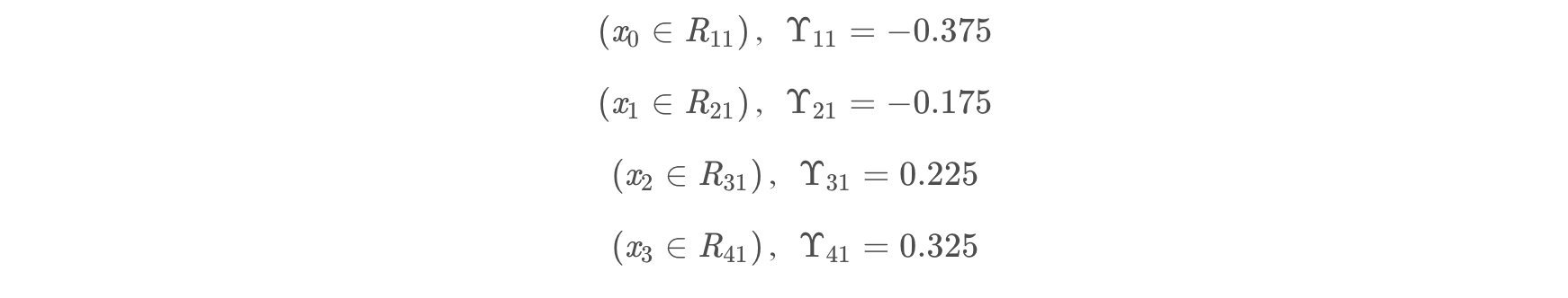
计算负梯度,根据上文损失函数为平方损失时,负梯度就是残差,再直白一点就是 y与上一轮得到的学习器fm-1的差值:

残差在下表列出:
| 编号 | 真实值 | �0(�)f0(x) | 残差 |
|---|---|---|---|
| 0 | 1.1 | 1.475 | -0.375 |
| 1 | 1.3 | 1.475 | -0.175 |
| 2 | 1.7 | 1.475 | 0.225 |
| 3 | 1.8 | 1.475 | 0.325 |
此时将残差作为样本的真实值来训练弱学习器f1(x),即下表数据
| 编号 | 年龄(岁) | 体重(kg) | 标签值 |
|---|---|---|---|
| 0 | 5 | 20 | -0.375 |
| 1 | 7 | 30 | -0.175 |
| 2 | 21 | 70 | 0.225 |
| 3 | 30 | 60 | 0.325 |
接着,寻找回归树的最佳划分节点,遍历每个特征的每个可能取值。
从年龄特征的5开始,到体重特征的70结束,分别计算分裂后两组数据的平方损失(Square Error),
SEl左节点平方损失,SEr右节点平方损失,找到使平方损失和: $$ SE_{sum}=SE_l+SE_r $$ 最小的那个划分节点,即为最佳划分节点。
例如:以年龄21为划分节点,将小于21的样本划分为到左节点,大于等于21的样本划分为右节点。左节点包括x0, x1 ,右节点包括样本x2, x3,
$$ SE_l = 0.02,SE_r=0.005,SE_{sum}=0.025, $$
$$ SE_l = [-0.375-(-0.275)]2+[-0.175-(-0.275)]2 = 0.02 $$
$$ SE_r = [0.225-0.275]2+[0.325-0.275]2 = 0.005 $$
所有可能划分情况如下表所示:
| 划分点 | 小于划分点的样本 | 大于等于划分点的样本 | ���SEl | ���SEr | �����SEsum |
|---|---|---|---|---|---|
| 年龄5 | / | 0,1,2,3 | 0 | 0.327 | 0.327 |
| 年龄7 | 0 | 1,2,3 | 0 | 0.14 | 0.14 |
| 年龄21 | 0,1 | 2,3 | 0.02 | 0.005 | 0.025 |
| 年龄30 | 0,1,2 | 3 | 0.187 | 0 | 0.187 |
| 体重20 | / | 0,1,2,3 | 0 | 0.327 | 0.327 |
| 体重30 | 0 | 1,2,3 | 0 | 0.14 | 0.14 |
| 体重60 | 0,1 | 2,3 | 0.02 | 0.005 | 0.025 |
| 体重70 | 0,1,3 | 2 | 0.26 | 0 | 0.26 |
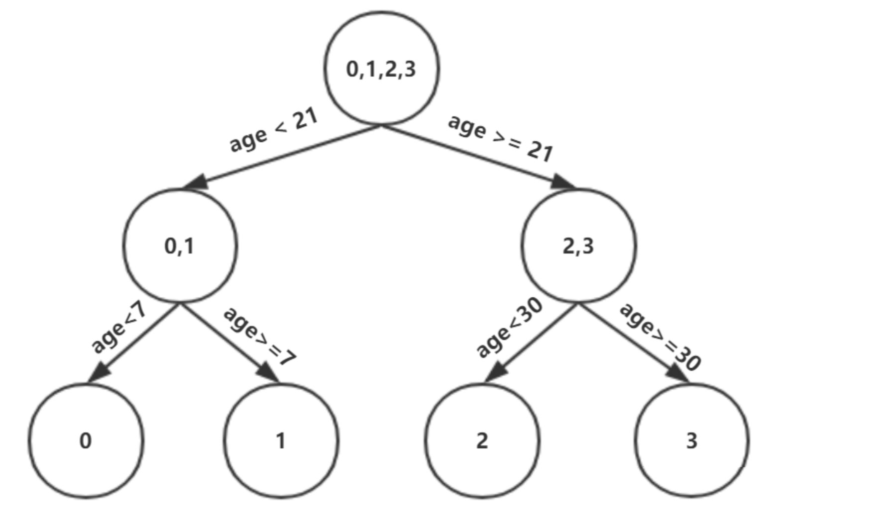
以上划分点是的总平方损失最小为0.025有两个划分点:年龄21和体重60,所以随机选一个作为划分点,这里我们选 年龄21 现在我们的第一棵树长这个样子:

我们设置的参数中树的深度max_depth=3,现在树的深度只有2,需要再进行一次划分,这次划分要对左右两个节点分别进行划分:
对于左节点,只含有0,1两个样本,根据下表我们选择年龄7划分

对于右节点,只含有2,3两个样本,根据下表我们选择年龄30划分(也可以选体重70)

现在我们的第一棵树长这个样子:

此时我们的树深度满足了设置,还需要做一件事情,给这每个叶子节点分别赋一个参数 r ,来拟合残差。 
这里其实和上面初始化学习器是一个道理,平方损失,求导,令导数等于零,化简之后得到每个叶子节点的参数 r ,其实就是标签值的均值。这个地方的标签值不是原始的 y,而是本轮要拟合的标残差 y - f0(x).
根据上述划分结果,为了方便表示,规定从左到右为第1,2,3,4个叶子结点

此时的树长这个样子:

此时可更新强学习器,需要用到参数学习率:learning_rate=0.1,用 lr 表示。 
为什么要用学习率呢?这是Shrinkage的思想,如果每次都全部加上(学习率为1)很容易一步学到位导致过拟合。
重复此步骤,直到 m>5 结束,最后生成5棵树。 
结果中,0.9倍这个现象,和其学习率有关。这是因为数据简单每棵树长得一样,导致每一颗树的拟合效果一样,而每棵树都只学上一棵树残差的0.1倍,导致这颗树只能拟合剩余0.9了。
(3)得到最后的强学习器:

(4)预测样本:
$$ f_0(x)=1.475 $$
在f1(x)中,样本4的年龄为25,大于划分节点21岁,又小于30岁,所以被预测为0.2250;
在f2(x)中,样本4的…此处省略…所以被预测为0.2025;
在f3(x)中,样本4的…此处省略…所以被预测为0.1823;
在f3(x)中,样本4的…此处省略…所以被预测为0.1640;
在f5(x)中,样本4的…此处省略…所以被预测为0.1476.
最终预测结果:
$$ f(x)=1.475+0.1\ast(0.225+0.2025+0.1823+0.164+0.1476)=1.56714 $$
5 小结
GBDT算法原理【知道】
- (1)初始化弱学习器

- (2)对m=1,2,...,M有:
(a)对每个样本i=1,2,...,N,计算负梯度,即残差

(b)将上步得到的残差作为样本新的真实值,并将数据
$$ (x_i,r_{im}), i=1,2,..N $$
作为下棵树的训练数据,得到一颗新的回归树fm(x)其对应的叶子节点区域为 $$ R_{jm}, j =1,2,..., J $$ 其中J为回归树t的叶子节点的个数。
(c)对叶子区域j=1,2,..J计算最佳拟合值

(d)更新强学习器
(3)得到最终学习器 