17.5 SVM的核方法
17.5 SVM的核方法
学习目标
- 知道SVM的核方法
- 了解常见的核函数
【SVM + 核函数】 具有极大威力。
核函数并不是SVM特有的,核函数可以和其他算法也进行结合,只是核函数与SVM结合的优势非常大。
1 什么是核函数
1.1 核函数概念
核函数,是将原始输入空间映射到新的特征空间,从而,使得原本线性不可分的样本可能在核空间可分。

下图所示的两类数据,分别分布为两个圆圈的形状,这样的数据本身就是线性不可分的,此时该如何把这两类数据分开呢?

- 假设X是输入空间,
- H是特征空间,
- 存在一个映射ϕ使得X中的点x能够计算得到H空间中的点h,
- 对于所有的X中的点都成立:

若x,z是X空间中的点,函数k(x,z)满足下述条件,那么都成立,则称k为核函数,而ϕ为映射函数:

1.2 核函数举例
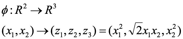
1.2.1 核方法举例1




经过上面公式,具体变换过过程为:

1.2.2 核方法举例2
- 下面这张图位于第一、二象限内。我们关注红色的门,以及“北京四合院”这几个字和下面的紫色的字母。
- 我们把红色的门上的点看成是“+”数据,字母上的点看成是“-”数据,它们的横、纵坐标是两个特征。
- 显然,在这个二维空间内,“+”“-”两类数据不是线性可分的。


(前后轴为x轴,左右轴为y轴,上下轴为z轴)
- 绿色的平面可以完美地分割红色和紫色,两类数据在三维空间中变成线性可分的了。
- 三维中的这个判决边界,再映射回二维空间中:是一条双曲线,它不是线性的。
- 核函数的作用就是一个从低维空间到高维空间的映射,而这个映射可以把低维空间中线性不可分的两类点变成线性可分的。

2 常见核函数

1.多项核中,d=1时,退化为线性核;
2.高斯核亦称为RBF核。
- 线性核和多项式核:
- 这两种核的作用也是首先在属性空间中找到一些点,把这些点当做base,核函数的作用就是找与该点距离和角度满足某种关系的样本点。
- 当样本点与该点的夹角近乎垂直时,两个样本的欧式长度必须非常长才能保证满足线性核函数大于0;而当样本点与base点的方向相同时,长度就不必很长;而当方向相反时,核函数值就是负的,被判为反类。即,它在空间上划分出一个梭形,按照梭形来进行正反类划分。
- RBF核:
- 高斯核函数就是在属性空间中找到一些点,这些点可以是也可以不是样本点,把这些点当做base,以这些base为圆心向外扩展,扩展半径即为带宽,即可划分数据。
- 换句话说,在属性空间中找到一些超圆,用这些超圆来判定正反类。
- Sigmoid核:
- 同样地是定义一些base,
- 核函数就是将线性核函数经过一个tanh函数进行处理,把值域限制在了-1到1上。
- 总之,都是在定义距离,大于该距离,判为正,小于该距离,判为负。至于选择哪一种核函数,要根据具体的样本分布情况来确定。
- 一般有如下指导规则:
- 1) 如果Feature的数量很大,甚至和样本数量差不多时,往往线性可分,这时选用LR或者线性核Linear;
- 2) 如果Feature的数量很小,样本数量正常,不算多也不算少,这时选用RBF核;
- 3) 如果Feature的数量很小,而样本的数量很大,这时手动添加一些Feature,使得线性可分,然后选用LR或者线性核Linear;
- 4) 多项式核一般很少使用,效率不高,结果也不优于RBF;
- 5) Linear核参数少,速度快;RBF核参数多,分类结果非常依赖于参数,需要交叉验证或网格搜索最佳参数,比较耗时;
- 6)应用最广的应该就是RBF核,无论是小样本还是大样本,高维还是低维等情况,RBF核函数均适用。
3 小结
- SVM的核方法
- 将原始输入空间映射到新的特征空间,从而,使得原本线性不可分的样本可能在核空间可分。
- 常见核函数
- 线性核
- 多项式核
- RBF核
- Sigmoid核