21.2 朗格朗日乘子法
21.2 朗格朗日乘子法
拉格朗日乘子法 (Lagrange multipliers)是一种寻找多元函数在一组约束下的极值的方法.
通过引入拉格朗日乘子,可将有 d 个变量与 k 个约束条件的最优化问题转化为具有 d + k 个变量的无约束优化问题求解。
本文希望通过一个直观简单的例子尽力解释拉格朗日乘子法和KKT条件的原理。
以包含一个变量一个约束的简单优化问题为例。
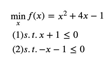
如图所示,我们的目标函数是: $$ f(x)=x^2+4x-1 $$ 讨论两种约束条件g(x):
- 在满足x≤−1 约束条件下求目标函数的最小值;
- 在满足 x≥−1约束条件g(x)下求目标函数的最小值。


我们可以直观的从图中得到,
- 对于约束 1) 使目标值f(x)最小的最优解是x=−2;
- 对于约束 2) 使目标值f(x)最小的最优解是x=−1。
下面我们用拉格朗日乘子来求解这个最优解。
当没有约束的时候,我们可以直接令目标函数的导数为0,求最优值。
可现在有约束,那怎么边考虑约束边求目标函数最优值呢?
- 最直观的办法是把约束放进目标函数里,由于本例中只有一个约束,所以引入一个朗格朗日乘子λ,构造一个新的函数,拉格朗日函数h(x): $$ h(x)=f(x)+\lambda g(x) $$
**该拉格朗日函数h(x)最优解可能在g(x)<0区域中,或者在边界g(x)=0上,**下面具体分析这两种情况,
- 当g(x)<0时,也就是最优解在g(x)<0区域中, 对应约束1) x≤−1的情况。此时约束对求目标函数最小值不起作用,等价于λ=0,直接通过条件∇𝑓(𝑥∗)=0,得拉格朗日函数h(x)最优解x=−2。
- 当g(x)=0时,也就是最优解在边界g(x)=0上,对应约束2) x≥−1的情况。此时不等式约束转换为等式约束,也就是在λ>0、约束起作用的情况下,通过求∇𝑓(𝑥∗)+𝜆∇𝑔(𝑥∗)=0,得拉格朗日函数h(x)最优解x=−1。
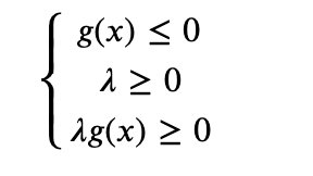
所以整合这两种情况,必须满足λg(x)=0
因此约束g(x)最小化f(x)的优化问题,可通过引入拉格朗日因子转化为在如下约束下,最小化拉格朗日函数h(x),

上述约束条件称为KKT条件。
该KKT条件可扩展到多个等式约束和不等式约束的优化问题。