10.3 数学:求导
10.3 数学:求导
学习目标
- 知道常见的求导方法
- 知道导数的四则运算
1 常见函数的导数

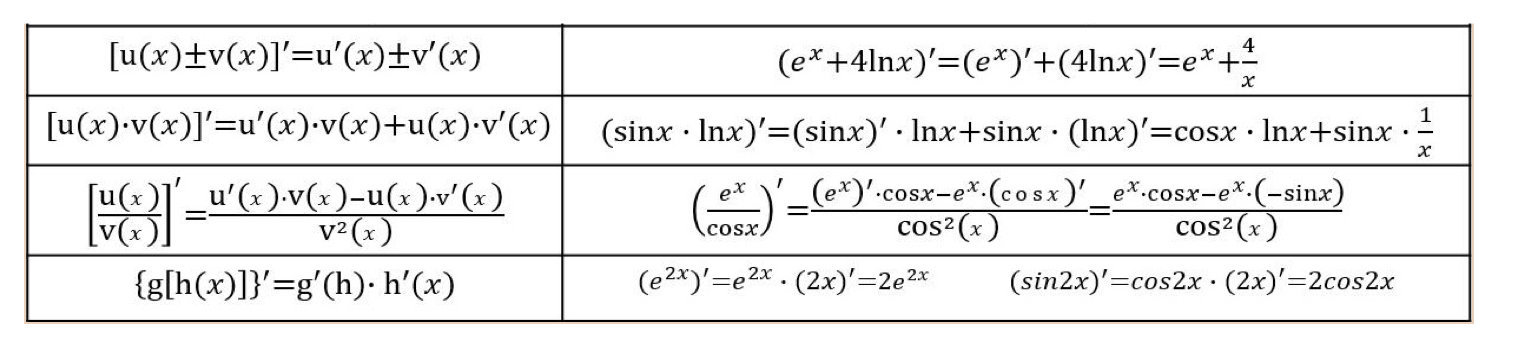
2 导数的四则运算

3 练习

答案:





4 矩阵(向量)求导 [了解]

参考链接:https://en.wikipedia.org/wiki/Matrix_calculus#Scalar-by-vector_identities
5 小结
- 常见函数的求导方式和导数的四则运算



答案:






参考链接:https://en.wikipedia.org/wiki/Matrix_calculus#Scalar-by-vector_identities