10.9 正则化线性模型
10.9 正则化线性模型
学习目标
- 知道正则化中岭回归的线性模型
- 知道正则化中lasso回归的线性模型
- 知道正则化中弹性网络的线性模型
- 了解正则化中early stopping的线性模型
正则化线性模型介绍:
- Ridge Regression 岭回归
- Lasso 回归
- Elastic Net 弹性网络
- Early stopping
1 岭回归
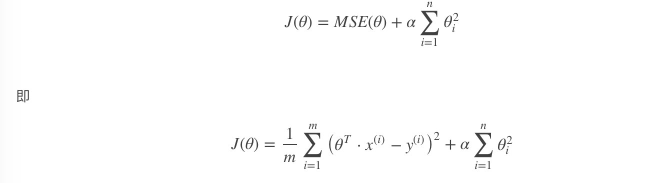
岭回归(Ridge Regression ,又名 Tikhonov regularization)是线性回归的正则化版本,即在原来的线性回归的 cost function 中添加正则项(regularization term):

以达到在拟合数据的同时,使模型权重尽可能小的目的,岭回归代价函数:

- α=0:岭回归退化为线性回归
2 Lasso 回归
Lasso 回归(Lasso Regression)是线性回归的另一种正则化版本,正则项为权值向量的ℓ1范数。
Lasso回归的代价函数 :

【注意 】
- Lasso Regression 的代价函数在 θi=0处是不可导的.
- 解决方法:在θi=0处用一个次梯度向量(subgradient vector)代替梯度,如下式
- Lasso Regression 的次梯度向量

Lasso Regression 有一个很重要的性质是:倾向于完全消除不重要的权重。
例如:当α 取值相对较大时,高阶多项式退化为二次甚至是线性:高阶多项式特征的权重被置为0。
也就是说,Lasso Regression 能够自动进行特征选择,并输出一个稀疏模型(只有少数特征的权重是非零的)。
3 弹性网络
弹性网络(Elastic Net)在岭回归和Lasso回归中进行了折中,通过 混合比(mix ratio) r 进行控制:
- r=0:弹性网络变为岭回归
- r=1:弹性网络便为Lasso回归
弹性网络的代价函数 :

一般来说,我们应避免使用朴素线性回归,而应对模型进行一定的正则化处理,那如何选择正则化方法呢?
小结:
- 常用:岭回归
- 假设只有少部分特征是有用的:
- 弹性网络
- Lasso
- 一般来说,弹性网络的使用更为广泛。因为在特征维度高于训练样本数,或者特征是强相关的情况下,Lasso回归的表现不太稳定。
- api:
from sklearn.linear_model import Ridge, ElasticNet, Lasso4 Early Stopping [了解]
Early Stopping 也是正则化迭代学习的方法之一。
其做法为:在验证错误率达到最小值的时候停止训练。
5 小结
- Ridge Regression 岭回归
- 就是把系数添加平方项
- 然后限制系数值的大小
- α值越小,系数值越大,α越大,系数值越小
- Lasso 回归
- 对系数值进行绝对值处理
- 由于绝对值在顶点处不可导,所以进行计算的过程中产生很多0,最后得到结果为:稀疏矩阵
- Elastic Net 弹性网络
- 是前两个内容的综合
- 设置了一个r,如果r=0--岭回归;r=1--Lasso回归
- Early stopping
- 通过限制错误率的阈值,进行停止