10.4 线性回归的损失和优化
10.4 线性回归的损失和优化
学习目标
- 知道线性回归中损失函数
- 知道使用正规方程对损失函数优化的过程
- 知道使用梯度下降法对损失函数优化的过程
假设刚才的房子例子,真实的数据之间存在这样的关系:
真实关系:
真实房子价格 = 0.02×中心区域的距离 + 0.04×城市一氧化氮浓度 + (-0.12×自住房平均房价) + 0.254×城镇犯罪率那么现在呢,我们随意指定一个关系(猜测)
随机指定关系:
预测房子价格 = 0.25×中心区域的距离 + 0.14×城市一氧化氮浓度 + 0.42×自住房平均房价 + 0.34×城镇犯罪率请问这样的话,会发生什么?真实结果与我们预测的结果之间是不是存在一定的误差呢?类似这样样子

既然存在这个误差,那我们就将这个误差给衡量出来
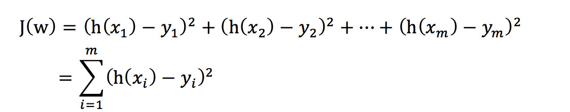
1 损失函数
总损失定义为:

- yi为第i个训练样本的真实值
- h(xi)为第i个训练样本特征值组合预测函数
- 又称最小二乘法
如何去减少这个损失,使我们预测的更加准确些?既然存在了这个损失,我们一直说机器学习有自动学习的功能,在线性回归这里更是能够体现。这里可以通过一些优化方法去优化(其实是数学当中的求导功能)回归的总损失!!!
2 优化算法
如何去求模型当中的W,使得损失最小?(目的是找到最小损失对应的W值)
- 线性回归经常使用的两种优化算法
- 正规方程
- 梯度下降法
2.1 正规方程
2.1.1 什么是正规方程

理解:X为特征值矩阵,y为目标值矩阵。直接求到最好的结果
缺点:当特征过多过复杂时,求解速度太慢并且得不到结果

2.1.2 正规方程求解举例
以下表示数据为例:

即:

运用正规方程方法求解参数:

2.1.3 正规方程的推导
- 推导方式:
把该损失函数转换成矩阵写法:

其中y是真实值矩阵,X是特征值矩阵,w是权重矩阵
把损失函数分开书写: $$ (Xw-y)2=(Xw-y)T(Xw-y) $$ 对展开上式进行求导:

需要求得求导函数的极小值,即上式求导结果为0,经过化解,得结果为: $$ XTXw=XTy $$ 经过化解为: $$ w=(XTX){-1}X^Ty $$
补充:需要用到的矩阵求导公式:
$$ \frac{dx^TA}{dx}=A $$
$$ \frac{dAx}{dx}=A^T $$

2.2 梯度下降
2.2.1 什么是梯度下降
梯度下降法(Gradient Descent)的基本思想可以类比为一个下山的过程。
假设这样一个场景:
一个人被困在山上,需要从山上下来(i.e. 找到山的最低点,也就是山谷)。但此时山上的浓雾很大,导致可视度很低。
因此,下山的路径就无法确定,他必须利用自己周围的信息去找到下山的路径。这个时候,他就可以利用梯度下降算法来帮助自己下山。
具体来说就是,以他当前的所处的位置为基准,寻找这个位置最陡峭的地方,然后朝着山的高度下降的地方走,(同理,如果我们的目标是上山,也就是爬到山顶,那么此时应该是朝着最陡峭的方向往上走)。然后每走一段距离,都反复采用同一个方法,最后就能成功的抵达山谷。

梯度下降的基本过程就和下山的场景很类似。
首先,我们有一个可微分的函数。这个函数就代表着一座山。
我们的目标就是找到这个函数的最小值,也就是山底。
根据之前的场景假设,最快的下山的方式就是找到当前位置最陡峭的方向,然后沿着此方向向下走,对应到函数中,就是找到给定点的梯度 ,然后朝着梯度相反的方向,就能让函数值下降的最快!因为梯度的方向就是函数值变化最快的方向。 所以,我们重复利用这个方法,反复求取梯度,最后就能到达局部的最小值,这就类似于我们下山的过程。而求取梯度就确定了最陡峭的方向,也就是场景中测量方向的手段。
2.2.2 梯度的概念
梯度是微积分中一个很重要的概念
在单变量的函数中,梯度其实就是函数的微分,代表着函数在某个给定点的切线的斜率;
在多变量函数中,梯度是一个向量,向量有方向,梯度的方向就指出了函数在给定点的上升最快的方向;
在微积分里面,对多元函数的参数求∂偏导数,把求得的各个参数的偏导数以向量的形式写出来,就是梯度。
这也就说明了为什么我们需要千方百计的求取梯度!我们需要到达山底,就需要在每一步观测到此时最陡峭的地方,梯度就恰巧告诉了我们这个方向。梯度的方向是函数在给定点上升最快的方向,那么梯度的反方向就是函数在给定点下降最快的方向,这正是我们所需要的。所以我们只要沿着梯度的反方向一直走,就能走到局部的最低点!
2.2.3 梯度下降举例
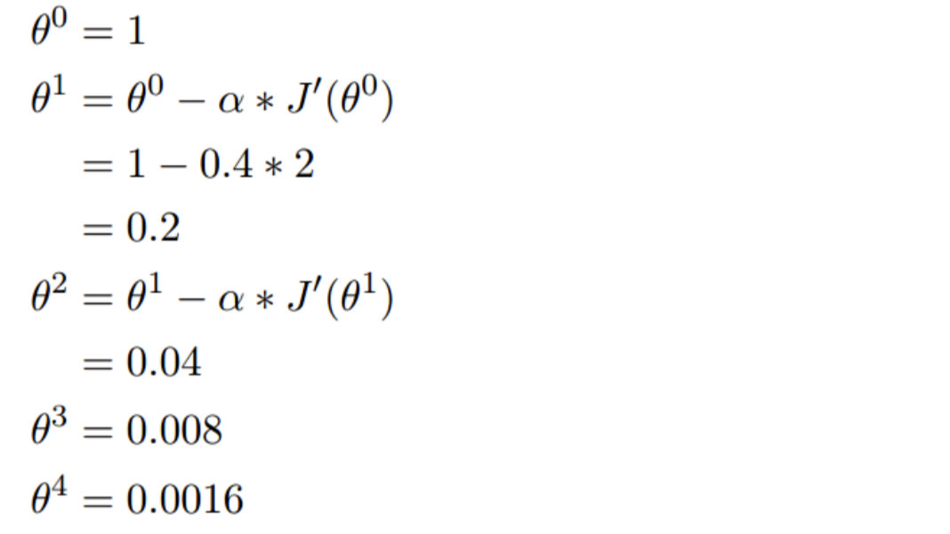
- 1. 单变量函数的梯度下降
我们假设有一个单变量的函数 :J(θ) = θ2
函数的微分:J、(θ) = 2θ
初始化,起点为: θ0 = 1
学习率:α = 0.4
我们开始进行梯度下降的迭代计算过程:

如图,经过四次的运算,也就是走了四步,基本就抵达了函数的最低点,也就是山底

- 2.多变量函数的梯度下降
我们假设有一个目标函数 ::J(θ) = θ12 + θ22
现在要通过梯度下降法计算这个函数的最小值。我们通过观察就能发现最小值其实就是 (0,0)点。但是接下 来,我们会从梯度下降算法开始一步步计算到这个最小值! 我们假设初始的起点为: θ0 = (1, 3)
初始的学习率为:α = 0.1
函数的梯度为:▽:J(θ) =< 2θ1 ,2θ2>
进行多次迭代:

我们发现,已经基本靠近函数的最小值点

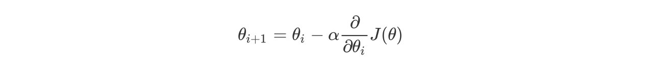
2.2.4 梯度下降公式

1) α是什么含义?
α在梯度下降算法中被称作为学习率或者步长,意味着我们可以通过α来控制每一步走的距离,以保证不要步子跨的太大扯着蛋,哈哈,其实就是不要走太快,错过了最低点。同时也要保证不要走的太慢,导致太阳下山了,还没有走到山下。所以α的选择在梯度下降法中往往是很重要的!α不能太大也不能太小,太小的话,可能导致迟迟走不到最低点,太大的话,会导致错过最低点!

- 2) 为什么梯度要乘以一个负号?
梯度前加一个负号,就意味着朝着梯度相反的方向前进!我们在前文提到,梯度的方向实际就是函数在此点上升最快的方向!而我们需要朝着下降最快的方向走,自然就是负的梯度的方向,所以此处需要加上负号
我们通过两个图更好理解梯度下降的过程


所以有了梯度下降这样一个优化算法,回归就有了"自动学习"的能力
- 优化动态图演示

3 梯度下降和正规方程的对比
3.1 两种方法对比
| 梯度下降 | 正规方程 |
|---|---|
| 需要选择学习率 | 不需要 |
| 需要迭代求解 | 一次运算得出 |
| 特征数量较大可以使用 | 需要计算方程,时间复杂度高O(n3) |
经过前面的介绍,我们发现最小二乘法适用简洁高效,比梯度下降这样的迭代法似乎方便很多。但是这里我们就聊聊最小二乘法的局限性。
首先,最小二乘法需要计算X
T
X的逆矩阵,
有可能它的逆矩阵不存在
,这样就没有办法直接用最小二乘法了。
- 此时就需要使用梯度下降法。当然,我们可以通过对样本数据进行整理,去掉冗余特征。让XTX的行列式不为0,然后继续使用最小二乘法。
第二,当样本特征n非常的大的时候,计算X
T
X的逆矩阵是一个非常耗时的工作(n x n的矩阵求逆),甚至不可行。
- 此时以梯度下降为代表的迭代法仍然可以使用。
- 那这个n到底多大就不适合最小二乘法呢?如果你没有很多的分布式大数据计算资源,建议超过10000个特征就用迭代法吧。或者通过主成分分析降低特征的维度后再用最小二乘法。
第三,如果拟合函数不是线性的,这时无法使用最小二乘法,需要通过一些技巧转化为线性才能使用,此时梯度下降仍然可以用。
第四,以下特殊情况,。
- 当样本量m很少,小于特征数n的时候,这时拟合方程是欠定的,常用的优化方法都无法去拟合数据。
- 当样本量m等于特征数n的时候,用方程组求解就可以了。
- 当m大于n时,拟合方程是超定的,也就是我们常用与最小二乘法的场景了。
3.2 算法选择依据
- 小规模数据:
- 正规方程:LinearRegression(不能解决拟合问题)
- 岭回归
- 大规模数据:
- 梯度下降法:SGDRegressor
经过前面介绍,我们发现在真正的开发中,我们使用梯度下降法偏多(深度学习中更加明显),下一节中我们会进一步介绍梯度下降法的一些原理。
4 小结
- 损失函数【知道】
- 最小二乘法
- 线性回归优化方法【知道】
- 正规方程
- 梯度下降法
- 正规方程 -- 一蹴而就【知道】
- 利用矩阵的逆,转置进行一步求解
- 只是适合样本和特征比较少的情况
- 梯度下降法 — 循序渐进【知道】
- 梯度的概念
- 单变量 -- 切线
- 多变量 -- 向量
- 梯度下降法中关注的两个参数
- α -- 就是步长
- 步长太小 -- 下山太慢
- 步长太大 -- 容易跳过极小值点(*****)
- 为什么梯度要加一个负号
- 梯度方向是上升最快方向,负号就是下降最快方向
- α -- 就是步长
- 梯度的概念
- 梯度下降法和正规方程选择依据【知道】
- 小规模数据:
- 正规方程:LinearRegression(不能解决拟合问题)
- 岭回归
- 大规模数据:
- 梯度下降法:SGDRegressor
- 小规模数据: