其他距离公式
其他距离公式
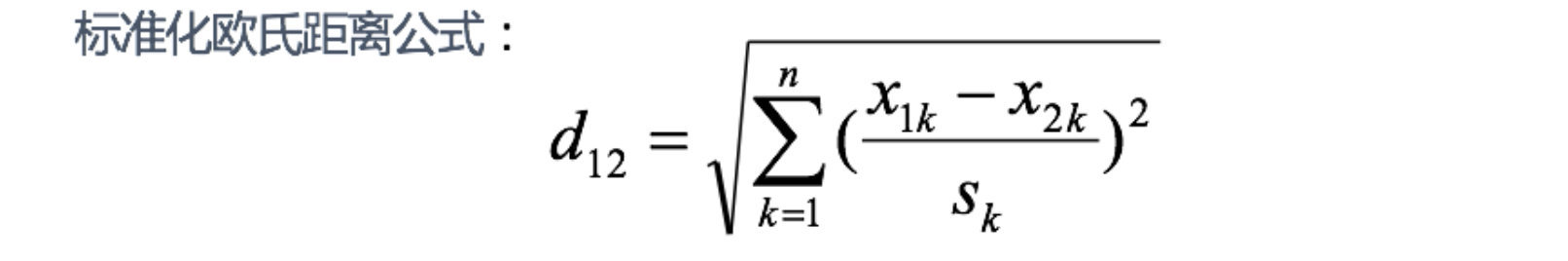
1 标准化欧氏距离
标准化欧氏距离(Standardized EuclideanDistance)是针对欧氏距离的缺点而作的一种改进。
思路:既然数据各维分量的分布不一样,那先将各个分量都“标准化”到均值、方差相等。

tips: Sk表示各个维度的标准差
如果将方差的倒数看成一个权重,也可称之为加权欧氏距离(Weighted Euclidean distance)。
举例:
X=[[1,1],[2,2],[3,3],[4,4]];(假设两个分量的标准差分别为0.5和1)
经计算得:
d = 2.2361 4.4721 6.7082 2.2361 4.4721 2.23612 余弦距离
几何中,夹角余弦可用来衡量两个向量方向的差异;机器学习中,借用这一概念来衡量样本向量之间的差异,就是余弦距离(Cosine Distance)。
- 二维空间中向量A(x1,y1)与向量B(x2,y2)的夹角余弦公式:

- 两个n维样本点a(x11,x12,…,x1n)和b(x21,x22,…,x2n)的夹角余弦为:

即:

夹角余弦取值范围为[-1,1]。余弦越大表示两个向量的夹角越小,余弦越小表示两向量的夹角越大。当两个向量的方向重合时余弦取最大值1,当两个向量的方向完全相反余弦取最小值-1。
举例:
X=[[1,1],[1,2],[2,5],[1,-4]]
经计算得:
d = 0.9487 0.9191 -0.5145 0.9965 -0.7593 -0.81073 汉明距离【了解】
两个等长字符串s1与s2的汉明距离(Hamming Distance)为:将其中一个变为另外一个所需要作的最小字符替换次数。
例如:
The Hamming distance between "1011101" and "1001001" is 2.
The Hamming distance between "2143896" and "2233796" is 3.
The Hamming distance between "toned" and "roses" is 3.
随堂练习:
求下列字符串的汉明距离:
1011101与 1001001
2143896与 2233796
irie与 rise汉明重量:是字符串相对于同样长度的零字符串的汉明距离,也就是说,它是字符串中非零的元素个数:对于二进制字符串来说,就是 1 的个数,所以 11101 的汉明重量是 4。因此,如果向量空间中的元素a和b之间的汉明距离等于它们汉明重量的差a-b。
应用:汉明重量分析在包括信息论、编码理论、密码学等领域都有应用。比如在信息编码过程中,为了增强容错性,应使得编码间的最小汉明距离尽可能大。但是,如果要比较两个不同长度的字符串,不仅要进行替换,而且要进行插入与删除的运算,在这种场合下,通常使用更加复杂的编辑距离等算法。
举例:
X=[[0,1,1],[1,1,2],[1,5,2]]
注:以下计算方式中,把2个向量之间的汉明距离定义为2个向量不同的分量所占的百分比。
经计算得:
d = 0.6667 1.0000 0.33334 杰卡德距离【了解】
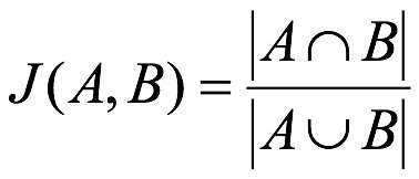
杰卡德相似系数(Jaccard similarity coefficient):两个集合A和B的交集元素在A,B的并集中所占的比例,称为两个集合的杰卡德相似系数,用符号J(A,B)表示:

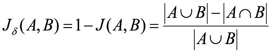
杰卡德距离(Jaccard Distance):与杰卡德相似系数相反,用两个集合中不同元素占所有元素的比例来衡量两个集合的区分度:

举例:
X=[[1,1,0],[1,-1,0],[-1,1,0]]
注:以下计算中,把杰卡德距离定义为不同的维度的个数占“非全零维度”的比例
经计算得:
d = 0.5000 0.5000 1.00005 马氏距离【了解】
下图有两个正态分布图,它们的均值分别为a和b,但方差不一样,则图中的A点离哪个总体更近?或者说A有更大的概率属于谁?显然,A离左边的更近,A属于左边总体的概率更大,尽管A与a的欧式距离远一些。这就是马氏距离的直观解释。

马氏距离(Mahalanobis Distance)是基于样本分布的一种距离。
马氏距离是由印度统计学家马哈拉诺比斯提出的,表示数据的协方差距离。它是一种有效的计算两个位置样本集的相似度的方法。
与欧式距离不同的是,它考虑到各种特性之间的联系,即独立于测量尺度。
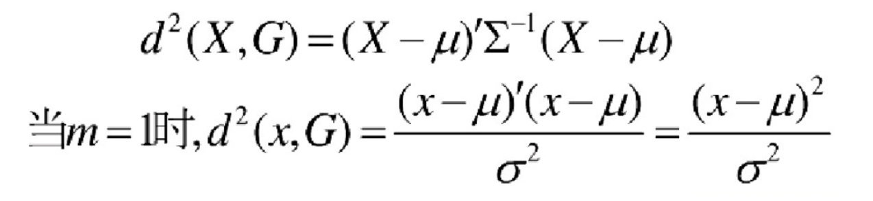
**马氏距离定义:**设总体G为m维总体(考察m个指标),均值向量为μ=(μ1,μ2,… ...,μm,)`,协方差阵为∑=(σij),
则样本X=(X1,X2,… …,Xm,)`与总体G的马氏距离定义为:

马氏距离也可以定义为两个服从同一分布并且其协方差矩阵为∑的随机变量的差异程度:如果协方差矩阵为单位矩阵,马氏距离就简化为欧式距离;如果协方差矩阵为对角矩阵,则其也可称为正规化的欧式距离。
马氏距离特性:
1.量纲无关,排除变量之间的相关性的干扰;
2.马氏距离的计算是建立在总体样本的基础上的,如果拿同样的两个样本,放入两个不同的总体中,最后计算得出的两个样本间的马氏距离通常是不相同的,除非这两个总体的协方差矩阵碰巧相同;
3 .计算马氏距离过程中,要求总体样本数大于样本的维数,否则得到的总体样本协方差矩阵逆矩阵不存在,这种情况下,用欧式距离计算即可。
4.还有一种情况,满足了条件总体样本数大于样本的维数,但是协方差矩阵的逆矩阵仍然不存在,比如三个样本点(3,4),(5,6),(7,8),这种情况是因为这三个样本在其所处的二维空间平面内共线。这种情况下,也采用欧式距离计算。
欧式距离&马氏距离:

举例:
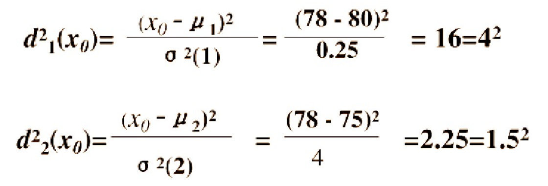
已知有两个类G1和G2,比如G1是设备A生产的产品,G2是设备B生产的同类产品。设备A的产品质量高(如考察指标为耐磨度X),其平均耐磨度μ1=80,反映设备精度的方差σ2(1)=0.25;设备B的产品质量稍差,其平均耐磨损度μ2=75,反映设备精度的方差σ2(2)=4.
今有一产品G0,测的耐磨损度X0=78,试判断该产品是哪一台设备生产的?
直观地看,X0与μ1(设备A)的绝对距离近些,按距离最近的原则,是否应把该产品判断设备A生产的?
考虑一种相对于分散性的距离,记X0与G1,G2的相对距离为d1,d2,则:

因为d2=1.5 < d1=4,按这种距离准则,应判断X0为设备B生产的。
设备B生产的产品质量较分散,出现X0为78的可能性较大;而设备A生产的产品质量较集中,出现X0为78的可能性较小。
这种相对于分散性的距离判断就是马氏距离。
