正规方程的另一种推导方式
正规方程的另一种推导方式
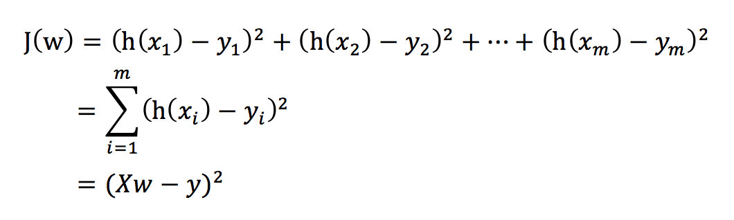
1.损失表示方式
总损失定义为:

- yi为第i个训练样本的真实值
- h(xi)为第i个训练样本特征值组合预测函数
- 又称最小二乘法
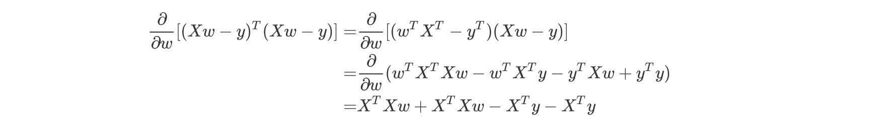
2.另一种推导方式
把损失函数分开书写: $$
(Xw-y)2=(Xw-y)T(Xw-y) $$ 对展开上式进行求导:

需要求得求导函数的极小值,即上式求导结果为0,经过化解,得结果为: $$
XTXw=XTy $$ 经过化解为: $$
w=(XTX){-1}X^Ty $$
补充:需要用到的矩阵求导公式:
$$
\frac{dx^TA}{dx}=A $$
$$
\frac{dAx}{dx}=A^T $$
