向量与矩阵的范数
向量与矩阵的范数
1.向量的范数
向量的1-范数:; 各个元素的绝对值之和;
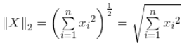
向量的2-范数:
每个元素的平方和再开平方根;
向量的无穷范数:
例:向量X=[2, 3, -5, -7] ,求向量的1-范数,2-范数和无穷范数。
向量X的1-范数:各个元素的绝对值之和 = 2+3+5+7 = 17=2+3+5+7=17;
向量X的2-范数:每个元素的平方和再开平方根;;

向量X的无穷范数:
(1)正无穷范数:向量的所有元素的绝对值中最大的;即X的正无穷范数为:7;
(2)负无穷范数:向量的所有元素的绝对值中最小的;即X的负无穷范数为:2;
2.矩阵的范数
设:向量 X \in R^nX∈R**n ,矩阵 A \in R^{n \times n}A∈R**n×n ,例如矩阵A为:
A=[2, 3, -5, -7;
4, 6, 8, -4;
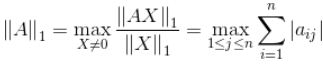
6, -11, -3, 16];(1)矩阵的1-范数(列模):
;矩阵的每一列上的元素绝对值先求和,再从中取个最大的,(列和最大);即矩阵A的1-范数为:27
(2)矩阵的2-范数(谱模):
,其中\lambda_iλ**i为ATA*A**T**A*的特征值;矩阵ATAATA的最大特征值开平方根。
(3)矩阵的无穷范数(行模):
;矩阵的每一行上的元素绝对值先求和,再从中取个最大的,(行和最大)
原文链接:https://blog.csdn.net/zaishuiyifangxym/article/details/81673491