20.4 otto案例介绍 -- Otto Group Product Classification Challenge【xgboost实现】
20.4 otto案例介绍 -- Otto Group Product Classification Challenge【xgboost实现】
1 背景介绍
奥托集团是世界上最大的电子商务公司之一,在20多个国家设有子公司。该公司每天都在世界各地销售数百万种产品,所以对其产品根据性能合理的分类非常重要。
不过,在实际工作中,工作人员发现,许多相同的产品得到了不同的分类。本案例要求,你对奥拓集团的产品进行正确的分分类。尽可能的提供分类的准确性。
链接:https://www.kaggle.com/c/otto-group-product-classification-challenge/overview

2 思路分析
- 1.数据获取
- 2.数据基本处理
- 2.1 截取部分数据
- 2.2 把标签纸转换为数字
- 2.3 分割数据(使用StratifiedShuffleSplit)
- 2.4 数据标准化
- 2.5 数据pca降维
- 3.模型训练
- 3.1 基本模型训练
- 3.2 模型调优
- 3.2.1 调优参数:
- n_estimator,
- max_depth,
- min_child_weights,
- subsamples,
- consample_bytrees,
- etas
- 3.2.2 确定最后最优参数
- 3.2.1 调优参数:
3 部分代码实现
- 2.数据基本处理
- 2.1 截取部分数据
- 2.2 把标签值转换为数字
- 2.3 分割数据(使用StratifiedShuffleSplit)
# 使用StratifiedShuffleSplit对数据集进行分割
from sklearn.model_selection import StratifiedShuffleSplit
sss = StratifiedShuffleSplit(n_splits=1, test_size=0.2, random_state=0)
for train_index, test_index in sss.split(X_resampled.values, y_resampled):
print(len(train_index))
print(len(test_index))
x_train = X_resampled.values[train_index]
x_val = X_resampled.values[test_index]
y_train = y_resampled[train_index]
y_val = y_resampled[test_index]
# 分割数据图形可视化
import seaborn as sns
sns.countplot(y_val)
plt.show()- 2.4 数据标准化
from sklearn.preprocessing import StandardScaler
scaler = StandardScaler()
scaler.fit(x_train)
x_train_scaled = scaler.transform(x_train)
x_val_scaled = scaler.transform(x_val)- 2.5 数据pca降维
print(x_train_scaled.shape)
# (13888, 93)
from sklearn.decomposition import PCA
pca = PCA(n_components=0.9)
x_train_pca = pca.fit_transform(x_train_scaled)
x_val_pca = pca.transform(x_val_scaled)
print(x_train_pca.shape, x_val_pca.shape)
(13888, 65) (3473, 65)从上面输出的数据可以看出,只选择65个元素,就可以表达出特征中90%的信息
# 降维数据可视化
plt.plot(np.cumsum(pca.explained_variance_ratio_))
plt.xlabel("元素数量")
plt.ylabel("可表达信息的百分占比")
plt.show()
- 3.模型训练
- 3.1 基本模型训练
from xgboost import XGBClassifier
xgb = XGBClassifier()
xgb.fit(x_train_pca, y_train)
# 改变预测值的输出模式,让输出结果为百分占比,降低logloss值
y_pre_proba = xgb.predict_proba(x_val_pca)
# logloss进行模型评估
from sklearn.metrics import log_loss
log_loss(y_val, y_pre_proba, eps=1e-15, normalize=True)
xgb.get_params3.2 模型调优
3.2.1 调优参数:
1) n_estimator
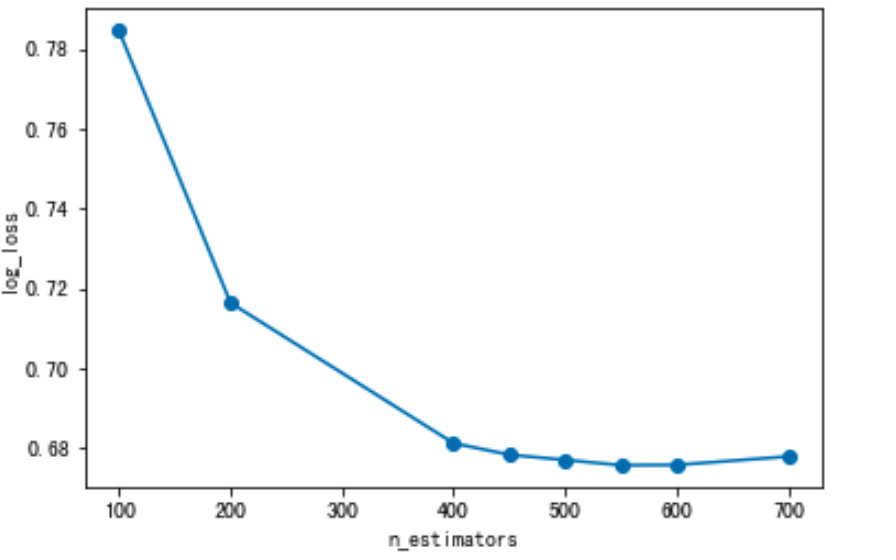
scores_ne = []
n_estimators = [100,200,400,450,500,550,600,700]
for nes in n_estimators:
print("n_estimators:", nes)
xgb = XGBClassifier(max_depth=3,
learning_rate=0.1,
n_estimators=nes,
objective="multi:softprob",
n_jobs=-1,
nthread=4,
min_child_weight=1,
subsample=1,
colsample_bytree=1,
seed=42)
xgb.fit(x_train_pca, y_train)
y_pre = xgb.predict_proba(x_val_pca)
score = log_loss(y_val, y_pre)
scores_ne.append(score)
print("测试数据的logloss值为:{}".format(score))
# 数据变化可视化
plt.plot(n_estimators, scores_ne, "o-")
plt.ylabel("log_loss")
plt.xlabel("n_estimators")
print("n_estimators的最优值为:{}".format(n_estimators[np.argmin(scores_ne)]))
- 2)max_depth
scores_md = []
max_depths = [1,3,5,6,7]
for md in max_depths: # 修改
xgb = XGBClassifier(max_depth=md, # 修改
learning_rate=0.1,
n_estimators=n_estimators[np.argmin(scores_ne)], # 修改
objective="multi:softprob",
n_jobs=-1,
nthread=4,
min_child_weight=1,
subsample=1,
colsample_bytree=1,
seed=42)
xgb.fit(x_train_pca, y_train)
y_pre = xgb.predict_proba(x_val_pca)
score = log_loss(y_val, y_pre)
scores_md.append(score) # 修改
print("测试数据的logloss值为:{}".format(log_loss(y_val, y_pre)))
# 数据变化可视化
plt.plot(max_depths, scores_md, "o-") # 修改
plt.ylabel("log_loss")
plt.xlabel("max_depths") # 修改
print("max_depths的最优值为:{}".format(max_depths[np.argmin(scores_md)])) # 修改- 3) min_child_weights,
- 依据上面模式进行调整
- 4) subsamples,
- 5) consample_bytrees,
- 6) etas
- 3.2.2 确定最后最优参数
xgb = XGBClassifier(learning_rate =0.1,
n_estimators=550,
max_depth=3,
min_child_weight=3,
subsample=0.7,
colsample_bytree=0.7,
nthread=4,
seed=42,
objective='multi:softprob')
xgb.fit(x_train_scaled, y_train)
y_pre = xgb.predict_proba(x_val_scaled)
print("测试数据的logloss值为 : {}".format(log_loss(y_val, y_pre, eps=1e-15, normalize=True)))